“人间四月芳菲尽,山寺桃花始盛开!”
把“山寺”换成“威海”也同样贴切。威海的春天,可以一直清冷到五月底六月初,盛开的玉兰、樱花、桃花、海棠、槐花、巨紫荆、锦鸡儿、白车轴草、红花檵木、少花米口袋、红花酢浆草、针叶天蓝绣球、红王子锦带花、阿拉伯婆婆纳1……,以及这一切所散发的“勃勃生机和沁脾馨香1”总是姗姗来迟,与内陆地区相比,约莫要迟到几周到一个月的光景。
与威海怒放的春天一样,这篇研究报道同样姗姗来迟。相关文章被接受发表的时间是3月24日,而如今已是五月有四。究其原因,一方面心情需打点要收拾,另一方面事务多而不胜数、一茬接一茬,需“拨冗”加“恒心”方能处理好正务,特别是那些需钻研和思考的事情。
题目可以是文章最大的“纲”,纲举则目张。本文题中有三个关键词加一动词,分别是:“(等离子体)相干辐射(机制)”是此项研究的主体,“三波作用”是产生相干辐射的一种主要方式,而“泵波”则是为研究该“方式”而采用的技术手段或方法,题中唯一的动词“揭秘”则指出了这篇研究的主要目的及结论:解开神秘面纱、剖析隐藏机理。
每次写博文(及论文),起好题目最为重要。好的题目,“看着就提气”,就觉得让人精神振奋,可展现文章内容而一目了然,如上段破题之解读;又能让人兴趣盎然,希望继续阅读里面的内容。
言归正传。
发自太空的射电辐射强度常远超由以单粒子为基础的经典辐射机制所能解释的亮度范围,只能引入由等离子体集体行为所致“相干辐射”来解释。同激光(LASER,L表示光波Light)辐射类似,相干辐射也是由定向发射、单色(或一定频段)的光子所构成,如何在等离子体中激发这些“定向、单色”的电磁波就是“相干辐射”机制要解决的问题。
等离子体相干辐射机制可分为两大类,一类靠高能电子直接激发向外传播的辐射电磁波,称为电子回旋脉泽(MASER,M表示微波Microwave),之前作者博文已涉及较多,此处不再赘述;另一种便是本文主角,形式上只比MASER多走了一步,由高能电子先激发一些波模,而后再通过三波作用向外辐射,称为等离子体辐射。
等离子体辐射的理论框架早在1958年便由Ginzburg等人提出。该最初框架指出:等离子体辐射是一多步过程,先激发等离子体振荡频率处的静电波—Langmuir波,该波与离子相应扰动或结构作用产生同频电磁辐射等。历经60余年磨砺,该理论“羽翼渐趋丰满”,然而最初的框架依旧坚挺,可见其顽强的生命力和构造者的智慧。
这是一个占有绝对统治地位的理论。随便翻阅相关文献,均可阅到这样一番解读:先由束流电子激发Langmuir静电波或湍动,再与离子声波并合产生等离子体基频辐射,云云,很难找到基于其他版本的等离子体辐射机制的描述。
对该“权威”机制,可有什么“质疑”的空间吗?大概相关的可有两点:
第一点:辐射的传播与逃离问题。与电子扰动所决定的等离子体静电振荡频率相比,离子扰动对应频率由于离子之笨重而大可忽略,故并合所产生的基频辐射频率就是等离子体静电振荡频率。这使得辐射光子的群速接近零(注意是接近零,而非光速),而且是准静电的,这些辐射光子会感受到与周围同频振荡的等离子体的折射散射反射等作用,难以有效传播,未必能轻易逃离源区。
第二点:束流电子也是一比较严苛的存在。高能电子分布很容易受到不均匀磁场结构或各种电磁扰动的影响,束流分布会很容易被修改为其它形式的分布。在一些类型爆发中,如IV-II-I-V型爆发中,从对爆发过程的物理理解上,都不一定会对应于束流电子。至少对于这些爆发,束流-等离子体辐射机制需要从驱动源---高能电子的分布方面开始修正。
事实上,早在上世纪70年代初,便有一种不同的等离子体辐射过程提出,试图使用哨声波(Whistler Wave: W)来代替离子声波。哨声波是一种常见波动,频率为几分之一电子回旋频率,远高于离子声波;从激发机制而言,不论是束流电子、热各向异性、还是约束在磁场中形成的损失锥类电子分布,均可有效激发此类波动;可有效回复上述两点质疑。据资深学者Melrose在1975年发表的文章2,由于静电Langmuir波波数很大,与波数一般不太大的哨声波及波数很小的基频辐射模式不可能满足三波作用的波矢匹配条件(注:三波作用属共振过程,要满足频率和波矢匹配条件,方能发生作用;所谓匹配条件就是两波频率或波矢之和等于第三波的频率或波矢)。他指出,在等离子体振荡频率附近,能与哨声波发生并合产生辐射的模式只有波数同样不大的Z模。与Langmuir静电波不同,Z模相速度接近或超过光速,还表现出较强的电磁性质。
然而,Melrose还指出,Z模与哨声波共振作用产生等离子体辐射的条件苛刻,不太可能有实际应用价值(“the coalescence of a Z-mode wave with a whistler can occur only under implausibly restrictive condition”、“so restrictive”、“unlikely to be important” 、“are essentially negative”)。该负面结论是通过求解三波作用的共振条件达到的。不幸的是,他使用了过于简化的模式参数条件,得到了这一现在看来并不正确的结论。
还有一个重要的研究基础需交代。课题组在2020年发表的一篇等离子体辐射机制的数值模拟研究工作3表明,Z模和哨声波应该是可以满足并合条件产生等离子体辐射的。该文引入损失锥类高能电子,激发了Z模和哨声波,而后在模拟的演化过程中,观察到了基频辐射。辐射的产生是模拟的结果,而产生的过程却藏于计算之中并非显而易见的,只能依据表观特征去猜测其发生机理。
以上便是此处欲介绍的研究工作4的主要背景。
为了证明Z模、哨声波、辐射电磁波可以满足三波并合条件且可真地产生,一方面直接求解三波并合条件,将模式得完整表达式代入,通过编制小程序稍事运行便可完成求解;另一方面,通过在粒子模拟系统中单独泵入或一起泵入前两种模式,通过对照试验,便可知道并合过程(及辐射)是否发生。除此之外,还可以通过定量的能量计算,来分析三波并合过程中的能量转化效率问题。
对于如何实现“泵波”,理解起来也是比较直观的。每种波模都有自己的色散关系,规定了波长和频率之间的固定关系,模式的电场、磁场、密度和速度扰动参量间的相对幅值也是固定的。根据理论计算可确定这些相对幅值,在设定模拟程序初值时写入即可“泵入”相应模式。
应该来说,该工作在等离子体辐射机制研究方面还是有推动力的。一方面,通过共振条件求解在大参数区间内找到了许多满足并合条件的解,匹配精度可高达万分之一甚至更高;另一方面,在粒子模拟试验中,当同时泵入Z和W模时,观测到了新出现的等离子体辐射模式,而且所得模式参数与相应共振条件界定的参数一致!这说明Z模和哨声波通过波波作用产生了等离子体辐射(简记为Z+W->O),而且该过程可以在大参数范围内、在相对“宽松的条件”下发生。

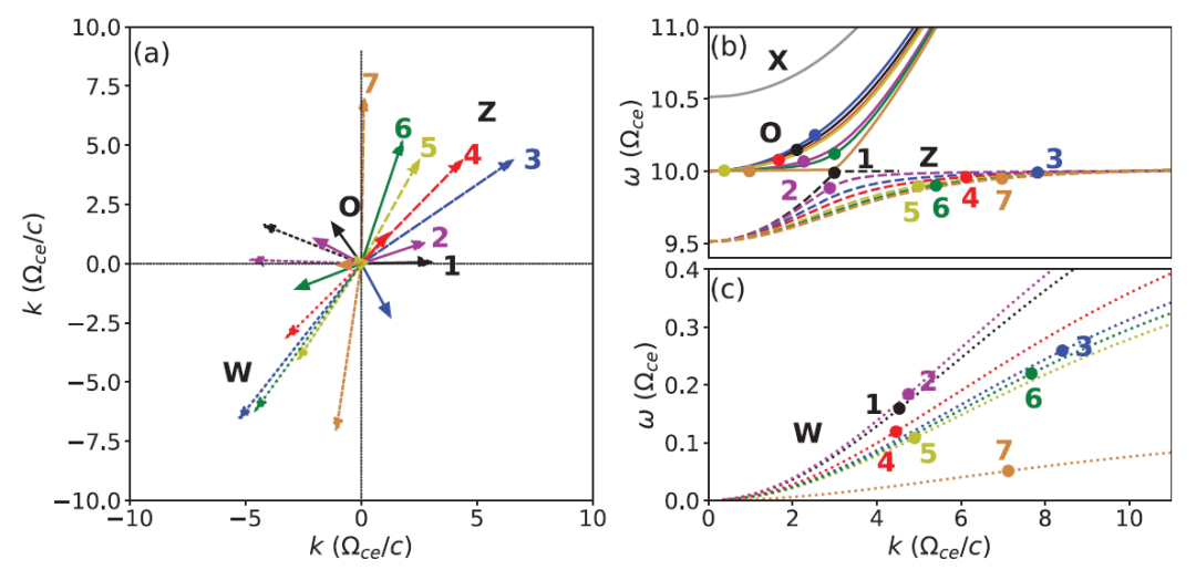
图1 三波作用(Z+W->O)共振条件求解所得的三种模式的相应参数示例:波数(a)和频率(b,c)。

图2 在粒子模拟系统中同时泵入Z模和W模所得模拟结果的色散关系分析图示。上栏表示Z模和所得O模的电场扰动分量,下栏表示W模的磁场扰动分量。
完成这一基本等离子体辐射过程的验证之后,在将来工作中,一方面还需找到能有效和同时激发Z模和W模的参数条件,特别是高能电子的分布特征与背景参数变化梯度情况,以便尽量提高辐射能量产生效率;另一方面还需要仔细检查相关观测数据,寻找可能参与等离子体辐射的源区波动并确定模式属性及可能的辐射机制。这还需要一段时间的努力。
记于2021怒放的春天之五四青年节
参考文献:
1)赵宏主编,山东大学威海校园植物,河南科学技术出版社,2016
2)Melrose, D. B., Three-wave Interactions Involving One Whistler, Aust. J. Phys., 28,1975
3)Ni, S. L., Chen, Y., et al., Plasma Emission Induced by Electron Cyclotron Maser Instability in Solar Plasmas with a Large Ratio of Plasma Frequency to Gyrofrequency, the Astrophys. J. Lett. 891, L25, 2020 (https://doi.org/10.3847/2041-8213/ab7750 )
4)Ni, S. L., Chen, Y., et al. An Alternative Form of the Fundamental Plasma Emission through the Coalescence of Z-mode Waves with Whistlers, Phys. Plasmas 28, 040701, 2021 (https://aip.scitation.org/doi/10.1063/5.0045546 本工作)